Electricity and Magnetism Questions for RRB Technician: Electricity and Magnetism are two of the most crucial topics in the RRB Technician syllabus under the Physics and Engineering Science section. Questions from these topics test a candidate’s conceptual understanding, formula application, and problem-solving speed.
In this article, we’ll explore the most important Electricity and Magnetism Questions for RRB Technician, common concepts, practical examples, and preparation tips that will help you master this section confidently.
Understanding the Importance of Electricity & Magnetism in RRB Technician Exam
Both Electricity and Magnetism play a vital role in the Railway system – from traction motors and transformers to signaling systems and communication lines. Hence, RRB often includes a good number of questions based on:
- Ohm’s Law and Electric Circuits
- Magnetism and Electromagnetic Induction
- Alternating Current (AC) Fundamentals
- Electric Power, Energy, and Resistance
- Electromagnets and their Applications
Typically, 8–12 questions in the RRB Technician Stage 2 paper (Technical Subjects) come from these chapters, making it one of the most scoring sections.
Key Topics Covered Under Electricity and Magnetism
Let’s first recall the essential topics from which most questions are asked.
| Electricity | Magnetisum |
| Electric Current and Charge | Magnetic Field and Flux |
| Ohm’s Law and Resistance | Electromagnetic Induction |
| Series and Parallel Circuits | Faraday’s Laws |
| Power and Energy | Lenz’s Law |
| Electric Potential and Capacitance | Magnetic Lines of Force |
| Heating and Chemical Effect of Current | Earth’s Magnetism |
| AC and DC Circuits | Electromagnets & Applications |
Most Repeated Electricity and Magnetism Questions for RRB Technician Exam
Given below are some of the most frequently asked and high-value questions that help you understand the pattern and depth of questions.
Section 1: Electricity
| No. | Question | Answer |
| 1 | What is the SI unit of electric charge? | Coulomb |
| 2 | What is Ohm’s Law? | ( V = IR ) |
| 3 | What is the reciprocal of resistance called? | Conductance |
| 4 | Which device converts chemical energy into electrical energy? | Battery |
| 5 | Name the instrument used to measure electric current. | Ammeter |
| 6 | The resistance of a wire depends on which factors? | Length, area, material, temperature |
| 7 | What is the power dissipated in a resistor? | ( P = I^2R ) |
| 8 | The unit of electrical energy used in households is? | Kilowatt-hour (kWh) |
| 9 | What happens to resistance when temperature increases? | Increases (for metals) |
| 10 | What is the potential difference if 2 A current flows through a 5 Ω resistor? | 10 V |
Download Free PDF on Electricity and Magnetism Questions
Section 2: Magnetism and Electromagnetism
| No. | Question | Answer |
| 1 | What is the SI unit of magnetic field? | Tesla |
| 2 | Who discovered electromagnetic induction? | Michael Faraday |
| 3 | What is the direction of magnetic field lines inside a magnet? | From South to North |
| 4 | What is the working principle of an electric motor? | Magnetic effect of current |
| 5 | What is the working principle of an electric generator? | Electromagnetic induction |
| 6 | What type of current is produced by a generator? | Alternating Current (AC) |
| 7 | Which law gives the direction of induced current? | Lenz’s Law |
| 8 | What is the right-hand thumb rule used for? | To find the direction of magnetic field around a current-carrying conductor |
| 9 | Which device converts electrical energy into mechanical energy? | Electric motor |
| 10 | What is the unit of magnetic flux? | Weber (Wb) |
Conceptual Highlights for Quick Revision
Candidates must go through the different laws and their formulas given below:
1. Ohm’s Law
- States that current (I) is directly proportional to voltage (V) and inversely proportional to resistance (R).
- Formula: V = I * R
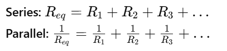
2. Series and Parallel Circuits

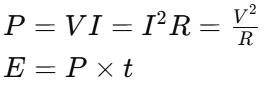
3. Power and Energy

4. Magnetic Field and Force
- The magnetic field around a conductor depends on current and distance.
- Fleming’s Left-Hand Rule: Used to find the direction of force in a motor.
- Fleming’s Right-Hand Rule: Used to find the direction of induced current in a generator.
5. Electromagnetic Induction
- Faraday’s Law: The induced EMF in a coil is proportional to the rate of change of magnetic flux.
- Lenz’s Law: The direction of induced current opposes the cause producing it.
Tips to Prepare Electricity and Magnetism for RRB Technician
We have given below some tips to prepare for the electricity and magnetism questions from the RRB Technician Syllabus. Check out the details
- Focus on Conceptual Clarity: Understand the physical meaning behind formulas rather than memorizing them.
- Solve Previous Year Papers: Helps identify recurring questions and numerical patterns.
- Make Short Notes: Write down all formulas, SI units, and laws for last-minute revision.
- Practice Numerical Questions: Speed and accuracy come from repeated practice.
- Refer to NCERT (Class 10–12): Many RRB-level questions are based on NCERT-level Physics.
- Use Visualization: For magnetism, visualizing magnetic field lines and current flow helps in grasping concepts faster.
Summary
Check out the key points of the article summarized below:
| Topic | Key Concept | Question Type |
| Ohm’s Law | ( V = IR ) | Conceptual and numerical |
| Resistance | Depends on length, area, material, temp | Calculation-based |
| Power & Energy | ( P = VI, E = P \times t ) | Formula-based |
| Magnetic Field | Right-hand thumb rule | Direction-based |
| Electromagnetic Induction | Faraday’s & Lenz’s Laws | Conceptual |
| Electric Motor | Magnetic effect of current | Principle-based |
| Generator | Electromagnetic induction | Application-based |
| Transformer | Mutual induction | Conceptual/Numerical |
Mastering Electricity and Magnetism Questions for RRB Technician is not just about memorizing formulas – it’s about understanding how electric and magnetic fields interact in real-world systems, like motors, generators, and railway traction. By focusing on concepts, practicing numerical problems, and revising key laws regularly, you can score high in this section and improve your overall RRB Technician rank.
FAQs
Most questions are conceptual and numerical, covering topics like Ohm’s Law, electric circuits, magnetic fields, electromagnetic induction, and applications of motors and generators. You can expect around 8–12 questions from these topics in the Technical paper.
Start with NCERT Class 10–12 Physics for conceptual clarity, then move on to previous year RRB papers. Make short notes of formulas, SI units, and laws, and practice at least 100–150 MCQs to improve accuracy and speed.
Yes. Around 30–40% of questions are numerical-based. You should practice calculations involving Ohm’s Law, power, resistance, and induced EMF to ensure speed and precision in the exam.
You can refer to:
NCERT Physics (Class 10–12)
Lucent’s General Science
Arihant’s RRB Technician Guide
Objective Electrical Technology by V.K. Mehta & Rohit Mehta for deeper understanding.
Focus on Ohm’s Law, Series and Parallel Circuits, Magnetic Effect of Current, Faraday’s Laws, and Basic Electrical Instruments. These are conceptually simple and frequently repeated in RRB exams, making them highly scoring areas.
- RRB Technician Medical Standard 2026, Check Details to Qualify
- How Negative Marking in RRB Technician Exam Affect the CBT Score?
- RRB Technician Application Status 2025 Out, Get the Official Direct Link
- RRB Technician Study Plan for Working Professional, Know Details
- Top Reasoning Questions for RRB Technician, Download Free PDF
- Important General Science Questions for RRB Technician Exam

Hello! This is Arijit Dutta. I am a skilled Content Writer at Oliveboard with nearly 3+ years of experience in crafting engaging, informative, and exam-focused content for the Railways Domain. With a strong command of language and a keen understanding of learner needs, I contribute significantly to Oliveboard’s mission of delivering high-quality educational resources. Passionate about clear communication and continuous learning, I consistently create content that helps government job aspirants achieve their goals. Outside of work, I enjoy playing cricket and listening to music, which helps me stay balanced and creative in my professional journey.